加快打造原始创新策源地,加快突破关键核心技术,努力抢占科技制高点,为把我国建设成为世界科技强国作出新的更大的贡献。

——习近平总书记在致中国科学院建院70周年贺信中作出的“两加快一努力”重要指示要求

面向世界科技前沿、面向经济主战场、面向国家重大需求、面向人民生命健康,率先实现科学技术跨越发展,率先建成国家创新人才高地,率先建成国家高水平科技智库,率先建设国际一流科研机构。

——中国科学院办院方针

首页 > 科研动态 > 科研进展

上海天文台在过渡脉冲星双星的研究上取得新进展

发布时间:2015-09-07 【字体: 】【打印】 【关闭

如果说,过渡脉冲双星系统的发现纯属来自偶然的观测结果,实不为过。对于2009年发现的第一个系统J1023+0038,首先是发现它是个毫秒脉冲星双星,随后对档案数据的分析才认识到它在2001年前后曾经有吸积盘存在于系统中,但在2002年后吸积盘消失。而20136月天文学家发现它的吸积盘又从无切换至有。这样的双星系统揭示了其用演化最后阶段复杂而有趣的变化特性,帮助我们认识到双星演化及毫秒脉冲星生成的具体过程。 

 

 

 

 

   

图:以源XSS J12270-4859的赤经、赤纬为中心的2度乘以2度区域。横坐标对应的是赤经,纵坐标对应了赤纬。左右图展示了在不同的光学调制期间,在对应位置处存在伽马射线源的可能性(用TS的值表征)。颜色从黑到白,对应了越来越大的TS值,表示该位置处存在伽玛射线源的可能性越大。白色或黑色十字符号标示了该源在2MASS巡天中的位置,红色虚线圆标记了在各自状态下拟合的最佳中心所在的2倍标准差范围。  

   

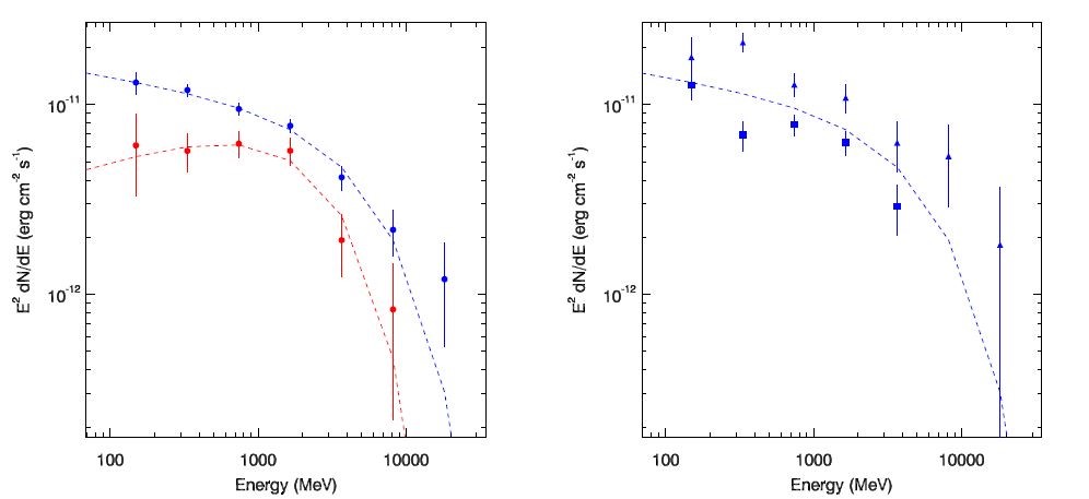
图:左图中的蓝点和红点别是盘消失之前和盘消失之后的伽马射线光谱数据;右图中的三角标记和矩形标记分别指处于高态(TS值不小于35)和低态(TS值不大于20)中的伽马射线光谱。蓝线和红线分别对应的是对盘消失之前和盘消失之后的伽马射线光谱数据拟合的函数模型。来源于原图3  

但是,研究团组还发现在吸积盘消失之前的长时间内,伽马射线辐射的流量也存在变化,甚至出现了3倍的幅度变化。对于这种流量变化, “我们还不能明确地下结论,”王仲翔研究员补充解释道,“必须排除掉Fermi数据库中同一空间位置处其它污染源对流量变化可能带来的影响,而根据现有数据,我们还无法做到。这个问题的解决还寄希望于未来对这一区域进一步的多波段观测。”  

注:之所以有红背蜘蛛这一绰号,是因为双星系统中主星对伴星“爱人”的“残酷”攻击而得。在双星演化早期,伴星为主星——脉冲星提供可吸积的质量,并对主星的自转产生影响,使得主星自转加快。随着时间推移,伴星慢慢变老演化成为黄矮星(质量很小,自身已无法像正处壮年的太阳那样通过核聚变产热发光),而来自主星的星风将在扫过伴星时加热并吹走伴星的物质,可以想象,在数百万年或数千万年之后伴星将命归何处。与此类似的称号还有黑寡妇,只是红背蜘蛛的伴星质量(约大于0.2倍太阳质量)要比黑寡妇的更大。  

为了找出这个双星系统是否具有伽马射线波段的对应位置,王仲翔研究员领导的团组全面搜索了由Fermi望远镜观测收集的伽马射线数据资料。他们发现,在吸积盘消失之前和消失之后,该双星系统所表现出来的伽马射线辐射都可以用同一个函数形式表述,但函数形状和幅度不同。相比于吸积盘消失之前,盘消失之后的伽马射线辐射流量(单位时间内通过单位面积的光子数)幅度小了近2倍。“我们还发现,在吸积盘消失之后,这个系统在伽马射线波段上呈现出了一个与X射线波段类似的周期性调制信号。”关于其原因,王仲翔研究员解释道,“主星的星风和伴星的外流物质碰撞产生的激波,会在碰撞区加速粒子产生高能辐射。伴星的运动会周期性地遮挡这一高能辐射区,便很可能造成伽马射线的周期性调制现象。”  
根据前人的研究,借由射电观测数据,研究者了解到它的射电脉冲周期(自转一周所需时间)仅为1.69毫秒。借由光学观测,研究者了解到它的轨道周期(它与伴星相互绕转一周所需时间)是6.9小时,进一步得知它的伴星质量介于0.060.12个太阳质量之间。伴星质量表明它的身份——一颗红背蜘蛛[1]型脉冲星双星。X射线波段上,在该源切换至无盘模式后,双星变暗了2.5倍,并呈现出周期性调制现象。而在伽马射线波段上,研究者仅知道,双星系统切换到无盘模式后,辐射变暗,但具体细节仍未得到很好的探讨,亟需进一步研究。 
发现于X射线观测数据,XSS J12270-4859起初被认为是一颗激变源。后来多波段观测数据的分析比较才揭开了它本来的面貌——它是一个与伽马射线源2FGL J1227.7-4853相关的低质量X射线双星系统。 
日前,我台王仲翔研究员团组展开了对第二个过渡期的脉冲星双星系统XSS J12270-4859的细致研究。他们关注的是,在这个系统的吸积盘从有切换至无之后,它在伽马射线波段上的表现。他们发现该源在盘消失之后,伽马射线波段的辐射更暗,具有与X射线波段相同的周期性调制特征;据此推测该特征很可能源于伴星的遮挡效应。该工作已经发表在20157月份的天文国际核心期刊《天体物理学报》。