21世纪,城市化导致全球建筑面积快速增长,导致建筑资源的高消耗和长期的环境影响。分析公共建筑的资源消耗,找出影响建筑资源消耗的关键因素,对于制定有针对性的政策非常重要。
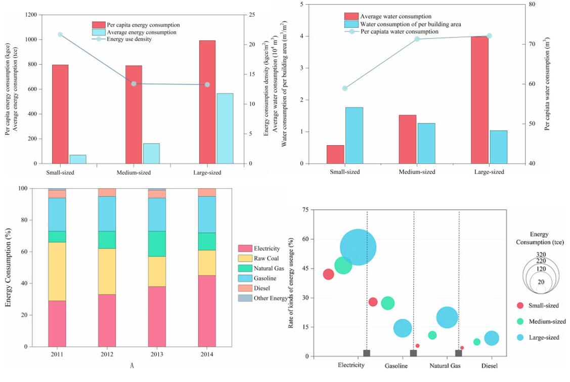
中国科学院城市环境研究所城市生态与可持续发展研究组从能源、水、土地资源消耗以及能源消费结构等方面对中国人民银行各分行进行了分析。根据资源消耗指标,将31个省级行政区划分为四个资源消耗水平;65%处于中低资源消耗水平。中型建筑的能源消耗水平最高,能源消耗结构更加均衡。人均能耗、用水量和小户型建筑利用率低。为了减少公共建筑的资源消耗,应该限制大型建筑的建设。
该研究为建筑规模对能源性能的影响提供了新的见解,从而解决了中国快速城市化背景下可持续发展的必要性。研究结果为公共建筑部门的政策制定者和利益相关者提供指导,有助于提高能源效率和促进资源可持续性。
相关研究成果以A comprehensive evaluation framework of energy and resources consumption of public buildings: Case study, People's Bank of China为题,发表于重要学术期刊Applied Energy上。研究工作得到国家重点研发项目的支持。

公共建筑能源和资源消耗示意图