玻璃材料是一类非平衡态材料,涵盖了金属玻璃、有机玻璃、硅酸盐玻璃等多种类型,在各类工程领域中常作为结构材料得到了广泛应用。当这些玻璃结构材料在恒定形变条件下服役时,会出现应力松弛现象,即随着服役时间的增长,应力逐渐降低,从而显著削弱材料的承载能力和稳定性,严重影响构件的服役期限。因此,研究提高玻璃材料抗应力松弛的能力并开发有效策略,对于延长构件在工程应用中的使用寿命和提高其可靠性,具有极其重要的科学价值和实际应用意义。
玻璃的机械性能与其能量状态紧密相关,其中,玻璃在应力松弛过程中的行为与退火过程中的老化现象极为相似,均涉及从高能量状态到接近热力学平衡态的过程。在对抗玻璃老化的研究领域,美国威斯康星大学麦迪逊分校的Kovacs教授于1963年提出了一种创新的双步退火方法:先低温退火,再高温退火。这一方法被证实能够引起玻璃能量状态的先升后降。这种非常规的能量上升,即“年轻化”(rejuvenation)现象,被命名为Kovacs记忆效应。近年来,中国科学院宁波材料技术与工程研究所非晶合金磁电功能特性团队进一步揭示了深度弛豫和较大的激活熵是触发Kovacs记忆效应的关键因素(Physical Review Letters,2020,125(13): 35501)。基于此,是否可以通过双步加载实现类似的应力记忆效应,从而提高玻璃材料抵抗应力松弛的能力?
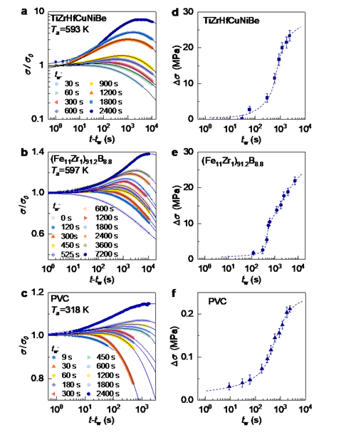
最近,宁波材料所非晶合金磁电功能特性团队研究发现对不同玻璃材料(铁基、钛基金属玻璃以及PVC高分子玻璃)先加载高应变再加载低应变,应力将呈现先升高再降低现象,这种反常的应力递增现象为应力记忆效应(如图1)。在更大的预加载应变和更高的温度下,玻璃的记忆效应强度 更大,且应力递增的持续时间tp也更长(如图2)。同时在不同玻璃中观察到,记忆效应强度 随预加载时间tw的增长呈现出由短时间不显著到长时间快速增长的双阶段特征(如图3)。通过即时动力学分析及可逆弛豫分析发现记忆效应只有在大激活能的协同运动过程才显著表现(如图4)。最后通过原位拉伸高能同步辐射和可逆滞弹性弛豫分析揭示,由小原子主导的可逆 弛豫是应力记忆效应的本质(如图5)。上述研究成果不仅深化了先前关于大激活熵深度弛豫作为焓记忆效应关键因素的理解(Physical Review Letters,2020,125(13):135501),而且揭示了记忆效应本质上是可逆 弛豫的物理图形,有效支持了Tool-Narayanaswamy-Moynihan(TNM)和Amir-Oreg-Imry (AOI)等唯象模型中关于记忆效应中快弛豫成分的假设。第二阶段恒应变加载时出现的反常应力递增现象,可以显著抵抗因应力衰减导致的结构失效。该工作为研究玻璃材料抵抗应力松弛能力开辟了新路径,相关成果以“Strain-driven Kovacs-like memory effect in glasses”为题发表在Nature Communications上(DOI:https://doi.org/10.1038/s41467-023-44187-x)。
该研究论文的第一作者为宁波材料所童钰博士后,通讯作者为宁波材料所王军强研究员和宋丽建副研究员,以及西班牙加泰罗尼亚理工大学的Eloi Pineda教授。合作作者包含宁波材料所高玉蓉硕士研究生、水晓雪高级实验师、张岩研究员、高萌研究员、霍军涛研究员;中国科学院高能物理研究所樊龙龙博士、杨一鸣副研究员、默广副研究员;中国科学院物理研究所李福成博士、柳延辉研究员;西北工业大学乔吉超教授。该研究工作得到了国家自然科学基金、国家重点研发计划、宁波市等项目的支持。

图1 玻璃中的应力记忆效应。(a)双步应变加载( 1 、 2)示意图;(b)固定应变 1=0.5%,不同 2拉伸时TiZrHfCuNiBe金属玻璃的应力演化曲线,当 1> 2时,应力呈现先递增再递减;(c)在铁基、钛基金属玻璃以及PVC有机玻璃中加载高—低双步应变时,会诱发出反常应力递增现象—应力记忆效应

图2 更大的预加载应变及温度都会促进应力记忆效应,具有更大记忆效应峰值时间tp和强度

图3 在三种玻璃材料中均观察到记忆效应随预加载时间tw呈现双阶段演化特征:即在较短的预加载时间内,记忆效应表现较为微弱;当预加载时间超过某一特定阈值后,记忆效应会迅速增强,达到相对较大的数值

图4 预加载应力松弛呈现双阶段,短时间为可逆弛豫具有较小的激活能,为 弛豫过程;长时间为不可逆弛豫的协同运动过程,具有较大的激活能

图5 原位拉伸高能同步辐射和可逆滞弹性弛豫分析,揭示应力记忆效应的本征是由小原子主导的局域可逆 弛豫
(磁材实验室)