福建物构所“无机离子印迹吸附剂”捕获放射性铯研究取得新进展

图1. “无机离子印迹吸附剂”FJSM-CGTS捕获放射性铯研究。
核工业的可持续发展与放射性废物的妥善处置密切相关。137Cs是乏燃料中γ放射性的主要来源之一,由于其放射性强、溶解度高、易迁移等特点,一旦释放到环境中,会对生态系统造成极大危害。环境放射性污染修复和乏燃料处理迫切需要高选择性捕获137Cs+离子。然而,由于强烈的库仑相互作用,传统Cs+吸附剂的吸附性能常会受到竞争离子(尤其是高价态金属离子)的极大影响。从复杂的放射性废液环境中高选择性分离铯仍然是一个挑战。
在国家杰出青年科学基金、国家级支持人才项目、国家自然科学基金面上项目、福建省人才项目等支持下,中国科学院福建物质结构研究所物质结构研究中心黄小荥课题组冯美玲研究员带领的放射性污染控制研究团队提出了一种具有离子识别-分离能力的“无机离子印迹吸附剂”的构筑策略,在复杂环境中高选择性捕获Cs+离子方面取得了突破性进展。基于这一策略制备了对Cs+具有“印迹效应”的金属硫化物Cs2.33Ga2.33Sn1.67S8·H2O(FJSM-CGTS),其K+离子活化产物Cs0.51K1.82Ga2.33Sn1.67S8·H2O(FJMS-KCGTS)对Cs+离子的吸附容量达到246.65 mg/g。通过“印迹效应”和软碱性S2-位点对Cs+离子的亲和力的协同作用,大大提高了层状金属硫化物对Cs+的选择性(图1)。FJSM-KCGTS可以在高浓度竞争离子(K+、Ca2+、Na+、Mg2+、Sr2+和Eu3+)存在下高选择性地捕获Cs+离子,并对核工业生产过程中产生的实际含137Cs+废液表现出卓越的处理能力,能将废液中137Cs活度浓度显著降低98%以上(图2)。FJMS-KCGTS可作为离子交换柱的固定相快速、便捷地动态处理含铯废液,有效减小废物体积(图2)。这些优异特性表明FJSM-CGTS/FJMS-KCGTS在放射性铯修复领域具有潜在的应用前景。
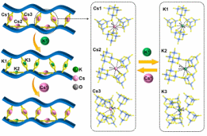
重要的是,他们获得了无机离子印迹吸附剂及其K+活化和Cs+捕获后的单晶结构,明确了Cs···S的相互作用模式,直观、清晰地揭示了无机离子印迹吸附剂捕获Cs+的“离子印迹”过程(图3)。密度泛函理论(DFT)计算证实了Cs+的选择性捕获能力源于硫化物阴离子层与Cs+离子的强相互作用。通过结构对比分析,探究了构效关系,结果表明相对坚固的波浪型层结构和软碱性S2-位点与Cs+离子的强相互作用,使得FJSM-CGTS的阴离子层对Cs+离子具有空间限域作用,从而表现出了“印迹效应”和选择性捕获能力,证实了构建“无机离子印迹吸附剂”合成策略的有效性。这种合成策略不仅有望减少功能基团或功能单体类型对印迹聚合物开发的限制,还能将印迹吸附剂的高选择性与无机吸附剂的稳定性、高吸附效率和良好的环境相容性结合起来,制备出的新型“无机离子印迹吸附剂”更适用于放射性废物处理。
这项工作首次发展了“无机离子印迹吸附剂”的构建策略,系统性研究了基于此策略发展的层状金属硫化物在复杂溶液中选择性捕获Cs+的性能、机理及构效关系,不仅促进了对结构-性能关系的科学理解,也为开发具有选择性识别和分离关键放射性核素的高效无机吸附材料提供了新思路。相关研究结果已发表在Nat. Commun.杂志上(Nat. Commun.2024,15,4281),文章连接https://doi.org/10.1038/s41467-024-48565-x。该文第一作者为国科大博士生唐俊豪同学。

图2. (a)FJSM-KCGTS填料柱的Cs+捕获穿透曲线和(b)洗脱曲线。FJSM-KCGTS对(c)中性和(d)酸性(pH = 2.6)137Cs废液的处理能力。

图3. FJSM-CGTS捕获Cs+的“离子印迹”过程示意图。
此前,冯美玲研究员带领的研究团队已在高选择性捕获和分离关键核素方面取得一系列研究成果(Nat. Commun.2022, 13, 658; Sep. Purif. Technol.2024, 333, 125856; J. Hazard. Mater.2022, 43, 128869; Chem. Eng. J.2022, 435, 134906; Angew. Chem. Int. Ed.2020, 59,1878-1883; Chem. Mater.2020, 32, 1957-1963; J. Am. Chem. Soc.2018, 140, 11133-11140; J. Am. Chem. Soc.2017, 139, 4314-4317; J. Am. Chem. Soc.2016, 138, 12578-12585),包括最近提出了一种在强酸性条件下低能耗、高安全性地捕获和固定137Cs的一体化处理方法,已发表在国际水协主办的环境领域Top期刊Water Research杂志上(Water Res. 2024, 255, 121459),该文第一作者为国科大博士生陈智桦同学。