超强激光科学卓越创新简报
(第五百三十五期)
2024年7月31日
上海光机所在掺钕钆钇钪铝石榴石激光晶体研究方面取得进展
近期,中国科学院上海光学精密机械研究所先进激光与光电功能材料部激光晶体研究中心杭寅研究员团队在Nd:GYSAG激光晶体研究方面取得进展,相关成果以“Spectroscopy and efficient dual-wavelength laser performances of a Nd:GYSAG crystal”为题发表于Optics letters。
Nd离子掺杂的激光晶体具有发射截面大,激光阈值低等优点,广泛使用在工业、测绘、医疗、科学研究等领域。在全固态二极管泵浦激光系统中,由于腔内激光谱线之间的竞争,发射出的激光束往往是单色的。为了实现双波长激光的同步振荡,需要对谐振腔进行专门的设计来控制和最小化增益竞争,这无疑增加了系统的复杂程度和不稳定性。
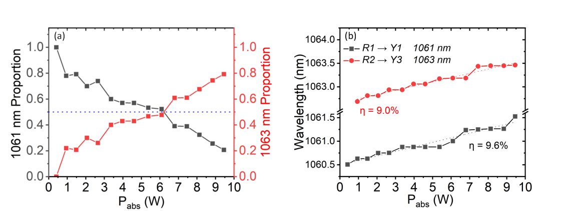
研究团队研制出一种新型掺钕钆钇钪铝石榴石激光晶体,该晶体能够直接实现双波长激光输出而无需复杂的谐振腔设计。利用提拉法生长出1.12at. % Nd:GYSAG晶体,研究了该晶体的光谱和分凝特性。采用平凹腔获得了最大斜率效率59.4%的连续双波长激光(波长1061.2nm和1063.2nm),研究了双波长激光强度相对变化和波长漂移与泵浦功率的依赖关系。采用Cr:YAG晶体作为可饱和吸收体,获得了平均功率0.756W、重复频率5.9KHz、脉宽14.0ns和峰值功率9.15kW的双波长被动调Q激光输出。研究结果表明,Nd:GYSAG晶体是一种高效双波长脉冲激光输出介质,有望作为基频光材料通过差频技术产生太赫兹光。
该工作得到国家自然科学基金委等项目的支持。


图2.双波长激光强度相对变化和波长漂移与泵浦功率的依赖关系

图3.Nd:GYSAG晶体被动调Q激光特性