随着激光技术和激光系统的快速发展,激光器已在激光加工、引力波探测、惯性约束核聚变、激光医疗、科学研究等领域发挥了重要作用,如今人们进一步对激光器的性能提出了更高要求。通常,出射激光被物体反射后,会对前端系统造成干扰甚至损伤,影响激光器的稳定工作,而采用磁光隔离器可以有效地解决这一问题。磁光材料是光隔离器的核心部件,其利用法拉第效应,在磁场作用下使入射光的偏振面发生偏转,实现激光的正向通过与反向隔离,保障激光系统的稳定运行。目前Tb3Ga5O12(TGG)磁光晶体的综合性能突出,制备工艺成熟,已广泛应用于可见到近红外波段的光隔离器中。但TGG单晶在用于高功率激光系统时,各项性能指标难以满足要求,因此需要寻找性能更佳的磁光材料。铽铝石榴石(Tb3Al5O12,TAG)材料具有高Verdet常数(约为TGG单晶的1.3倍),且其热导率、磁光优值、热光性能等指标均优于商用TGG单晶,因此被认为是应用于高功率法拉第光隔离器的理想磁光材料。但由于TAG为非一致熔融材料,高质量、大尺寸TAG单晶的生长极为困难,而在非一致熔融温度以下制备的TAG磁光陶瓷有望成为TGG磁光晶体的替代材料。
近期,中国科学院上海硅酸盐研究所李江研究员团队深入开展了TAG基磁光陶瓷的研究工作,并取得了系列研究进展。该团队系统性回顾了当前TAG基磁光陶瓷的研究进展,并对其他石榴石、倍半氧化物、烧绿石(A2B2O7)型磁光陶瓷的制备方法与综合性能进行了全面综述,提出了各类磁光陶瓷的研究重点与面临的挑战。最后对磁光陶瓷的现存问题与解决方案进行了讨论,并对该领域未来的发展方向进行了展望。相关研究成果发表在Journal of Advanced Ceramics(2023,12: 873-915)。

磁光隔离器的工作原理示意图
同时,该团队采用液相共沉淀法合成了TAG纳米粉体,利用真空烧结结合热等静压烧结(HIP)技术,成功制备了高光学质量、细晶粒的TAG磁光陶瓷。其在1064nm处的直线透过率达到了81.6%,平均晶粒尺寸约为7.1μm。经过测试,TAG磁光陶瓷在633nm处的Verdet常数为-179.6±4.8rad·T-1·m-1,1064nm处的Verdet常数为-52.1±1.9rad·T-1·m-1,高于商用的TGG单晶。TAG磁光陶瓷在室温的热导率为5.12W·m-1·K-1,在450℃时的热导率为3.61W·m-1·K-1。此外,通过高温与低温两种烧结制度获得了TAG透明陶瓷并对比研究了其力学性能。降低烧结温度后,TAG透明陶瓷的晶粒尺寸明显减小,抗弯强度提升了约9.7%。而且显微结构的变化对TAG磁光陶瓷的断裂方式有着明显的影响,细晶粒TAG陶瓷的断裂方式主要是沿晶断裂,而粗晶粒TAG陶瓷的断裂方式是沿晶和穿晶断裂共存。同时,测得TAG磁光陶瓷的维氏硬度约为12.8±0.2GPa,与TAG单晶相一致。相关研究成果发表于Journal of the American Ceramic Society(2023,106: 5311-5321)。

不同温度真空预烧结合HIP后处理(1600oC×3h)制备的TAG陶瓷的实物照片与直线透过率曲线
此外,关于TAG磁光陶瓷服役性能的研究在国际上备受关注。近期,李江研究员团队开展了关于TAG磁光陶瓷服役性能的研究工作,并取得了重要研究进展。该团队采用固相反应烧结结合HIP后处理技术制备了高光学质量的TAG磁光陶瓷,其在1064nm和633nm处的直线透过率分别达82.8%和82.1%。该TAG磁光陶瓷在1070nm处的Verdet常数为50.9 rad·T-1·m-1,吸收系数为2.5×10-3 cm-1,冷消光比达到55dB,并可实现~1.2kW的有效磁光隔离。该研究结果证实了TAG磁光陶瓷在高功率法拉第隔离器中具有优良的应用前景。相关研究成果发表于Journal of the American Ceramic Society(2024,107: 3653-3658)。

TAG磁光陶瓷的实物图与直线透过率曲线

TAG磁光陶瓷的热退偏曲线
由于TAG固溶范围窄,易析出第二相,TAG陶瓷化学计量配比的精确控制是提升TAG磁光陶瓷光学质量的重点与难点。近期,李江研究员团队开展了关于Y3+部分取代Tb3+,并采用两步烧结技术制备TYAG磁光陶瓷的研究工作。研究发现,随着Y含量的增加,(Tb1-xYx)3Al5O12 (x=0,0.05,0.1,0.2,0.3) 陶瓷中的氧化铝第二相含量明显降低,光学透过率提高。所得 (Tb0.8Y0.2)3Al5O12陶瓷在1064nm处的直线透过率达82.9%,在633nm处的直线透过率为82.2%。结果表明,通过添加Y2O3可使TAG磁光陶瓷的光学损耗降低约一个数量级,大大提高了陶瓷的光学质量,有利于应用性能的提升。研究发现,TYAG陶瓷的磁光性能、热学性能随着Y含量的提高,有不同程度的下降。添加20at.%Y后,磁光陶瓷的Verdet常数下降约24%,仍高于TGG磁光晶体;热导率下降约9.4%,降低后与TGG单晶热导率相当。经过综合考虑TYAG陶瓷的性能,确认Y2O3是一种有效的添加剂,有利于提升TAG基磁光陶瓷的综合性能。相关研究成果发表在Journal of Advanced Ceramics(2024,13: 529-538)。上述论文的第一作者均为上海硅酸盐所博士研究生章立轩,通讯作者为上海硅酸盐所李江研究员。

不同Y含量TYAG磁光陶瓷的(a)实物图与直线透过率,(b)理论透过率与光学损耗
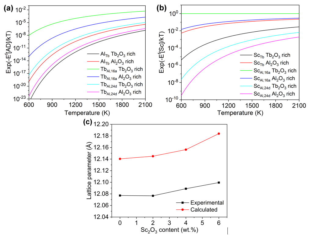
为了进一步提升TAG磁光陶瓷的固溶范围,防止第二相产生,同时又希望保持TAG陶瓷的高Verdet常数,李江研究员团队近期开展了关于TSAG磁光陶瓷的研究工作。该团队采用固相反应烧结结合HIP处理技术制备了不同Sc含量的TSAG磁光陶瓷,并从物相与晶体结构、烧结动力学、微观形貌、光学性能、磁光性能对TSAG陶瓷进行了全面而系统的研究。同时,采用第一性原理计算了TSAG陶瓷中的反位缺陷与Sc取代缺陷的形成能与缺陷浓度,从实验与理论上阐明了Sc提升TAG陶瓷固溶范围的机理。研究表明,随着Sc2O3添加量逐渐增加至6wt.%,TSAG陶瓷中氧化铝第二相的含量显著降低,光学质量明显提升。XRD精修与理论计算结果均表明Sc可大量占据Tb与Al 16a两种格位,因此有效地提升了TAG的固溶范围。此外,研究发现添加6wt.% Sc2O3后,TSAG磁光陶瓷在633nm处的Verdet常数仍可达161.4 rad·T·m-1。通过组分优化有望进一步提升Verdet常数,直至接近纯TAG磁光陶瓷。相关研究成果发表在Journal of Advanced Ceramics(2024,doi: 10.26599/JAC.2024.9220948),论文第一作者为上海硅酸盐所博士研究生章立轩,通讯作者为上海硅酸盐所李江研究员和胡辰副研究员。

经过真空预烧结合HIP处理后所的TSAG磁光陶瓷的热腐蚀表面FESEM形貌图(a)0wt.%,(b)2wt.%,(c)4wt.%,(d)6wt.% Sc2O3添加量

计算所得TAG中(a)反位缺陷与(b)Sc取代缺陷的百分含量,与(c)不同Sc含量TSAG磁光陶瓷的晶胞参数实测值与计算值
相关工作得到了国家重点研发计划项目重点专项、国家重点研发计划项目政府间国际科技创新合作重点专项、中国科学院国际伙伴计划、上海市“一带一路”国际合作项目和上海市自然科学基金项目等的资助和支持。
附文章链接: