超强激光科学卓越创新简报
(第五百六十六期)
2024年10月21日
上海光机所在氧化铝的太赫兹非线性吸收研究方面取得新进展
近期,中国科学院上海光学精密机械研究所强场激光物理国家重点实验室研究团队在氧化铝的太赫兹非线性吸收研究方面取得新进展。相关成果以“Observation of terahertz nonlinear absorption activity in Al2O3”为题发表于Optics Express。
超快太赫兹脉冲具有低光子能量和高峰值电场强度等优点,已被应用于结构检测、物态调控和自由电子加速等研究。可饱和吸收体(SA)可用于产生超快激光脉冲,太赫兹范围内合适的可饱和吸收材料却相对缺乏。过往研究表明,块状材料很难达到较高的可饱和调制深度,而新型二维材料则受到大规模制备和长期稳定性方面的挑战。氧化铝在强场太赫兹脉冲的作用下,会出现明显的非线性吸收现象,有助于实现稳定而实用的太赫兹可饱和吸收体,这为太赫兹频率范围内超高速锁模激光器的发展带来了新的契机。
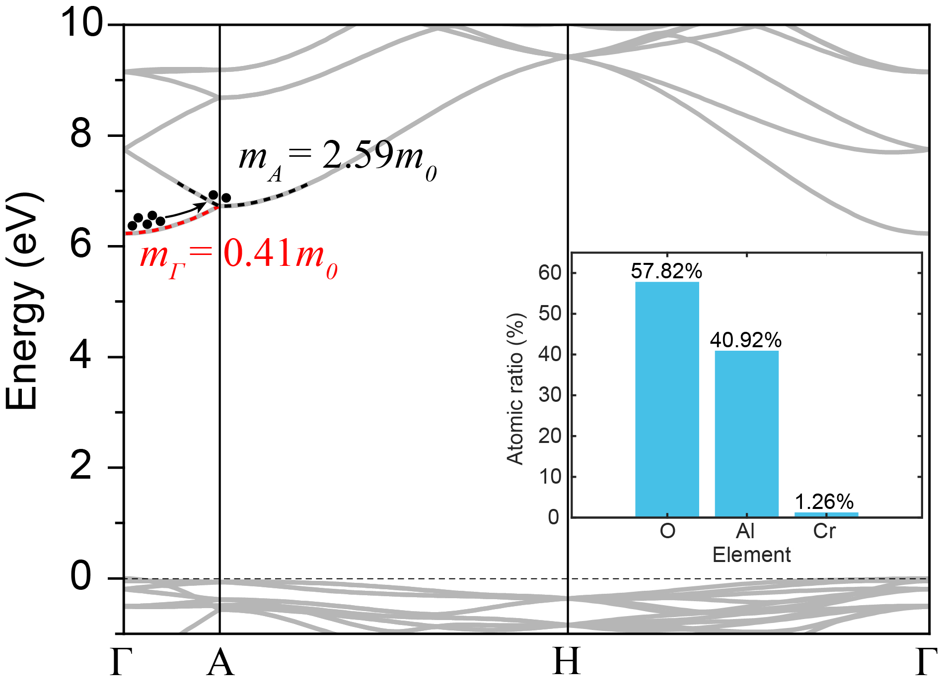
在这项工作中,研究团队设计搭建了一套太赫兹泵浦探测实验装置,利用Yb:YAG激光器输出的超短脉冲激光泵浦DSTMS有机晶体,产生频谱宽度覆盖 0.1-8 THz的强场太赫兹源,并通过一对太赫兹线栅偏振器改变氧化铝样品上的太赫兹通量,利用电光采样系统测量太赫兹电场透过率。结果表明,氧化铝在太赫兹波段具有高调制深度(27.5%)和低可饱和强度(6.99 μJ/cm2)的优良性能,根据第一性原理计算,太赫兹脉冲引起的谷间散射改变了电子的有效质量,使得电子迁移率发生变化,从而产生了强烈的太赫兹诱导透明现象。这一研究为新型太赫兹可饱和吸收体的发展提供了新的思路,具有直接产生高能量超短太赫兹脉冲的巨大潜力,有望广泛应用于高重频太赫兹激光器。
相关工作得到国家自然科学基金项目、科技部重点研发计划、基础研究特区计划等支持。

图1. 实验中有(蓝色)、无(红色)氧化铝样品时测量的太赫兹波电场(a)、频谱(b),以及不同泵浦通量下的太赫兹光谱透过率(插图);不同太赫兹通量下的功率透过率及其拟合曲线(c)。

图2. Al2O3的能带结构,扫描电子显微镜测得的样品原子比(插图)。