超强激光科学卓越创新简报
(第五百六十五期)
2024年10月21日
上海光机所在基于强太赫兹与超表面的硅基非线性光学研究上取得进展
近期,中国科学院上海光学精密机械研究所强场激光物理国家重点实验室在硅基非线性光学研究方面取得了进展。研究团队提出了一种复合超表面与强太赫兹(THz)场结合的新方法,以打破硅的中心对称性并增强二次谐波的产生(SHG, second harmonic generation)和三次谐波的产生(THG, third harmonic generation)。相关成果以“Second harmonic generation and third harmonic enhancement in silicon by composite metasurface and intense terahertz”为题发表在Optics Express上。
硅的光学非线性特性对硅光子学的发展至关重要,而中心对称的晶体结构使得硅缺乏二阶非线性效应。这一缺陷能够通过施加应变、瞬态强电场等方式克服。其中,团队前期在物态调控方面的研究表明,基于强场太赫兹的调控方式具有超快、无损的优点。然而,太赫兹高场强的要求以及非线性转换效率的低下限制了该方法的实际应用。
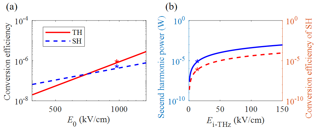
针对上述问题,研究团队设计了如图1所示的一种复合超表面结构,该结构由镂空蝶形金属超表面和图案化的非晶硅超表面组成。镂空蝶形金属超表面能够显著增强太赫兹场,非晶硅的结构参数则选定为能够形成超法诺共振。当同时施加强太赫兹与基频光时,太赫兹被进一步增强并打破了硅材料的中心对称性,从而允许二次谐波的生成。同时,非晶硅中基频光的强共振进一步提升了SHG和THG的转换效率。数值模拟结果显示,当入射强度为1.20 GW/cm²的基频光和10 kV/cm的y极化太赫兹波时,SHG和THG的转换效率分别为3.93×10-7和7.18×10-7。与未图案化的硅相比,THG的转换效率提高了约700倍。由于镂空蝶形金属超表面对太赫兹的场增强效应,SHG的转换效率提高了1.47×104倍。图2(a)为SHG(红色实线)和THG(蓝色虚线)转换效率随基频光强度E0的变化曲线。图2(b)为二次谐波功率(蓝色实线)和效率(红色虚线)随入射太赫兹电场Ei-THz的变化曲线。该工作为构建微型化、多功能和低功耗的非线性器件提供了新的思路。
相关研究得到了国家重点研发计划、国家自然科学杰出青年基金及基础研究特区计划等项目的支持。

图1. 复合超表面示意图:(a)俯视图;(b)局部放大图;(c)侧视图。(d)复合超表面增强硅SHG和THG示意图。

图2. (a)SHG(红色实线)和THG(蓝色虚线)转换效率随基频光强度E0的变化曲线。(b)二次谐波功率(蓝色实线)和效率(红色虚线)随入射太赫兹电场Ei-THz的变化曲线