超强激光科学卓越创新简报
(第五百六十八期)
2024年11月6日
上海光机所在二维材料偏振光电探测器研究方面取得进展
近期,中国科学院上海光学精密机械研究所空天激光技术与系统部王俊研究员团队与中国科学技术大学合作在二维材料偏振光电探测器研究方面取得进展。相关研究成果以“High Performance Balanced Linear Polarization Photodetector Based on 2D ReS2”为题发表于Laser & Photonics Reviews,并被选为当期卷首插图文章。
偏振敏感光探测对于图像传感、环境监测、光谱学、通信和量子信息处理等应用非常重要。传统的二维材料线偏振光电探测器的研究主要集中在寻找不同的各向异性材料、材料之间的组合、引入等离子体结构以及对二维材料进行图案化以提高其性能。然而,这些方法对偏振灵敏度的提高有限。
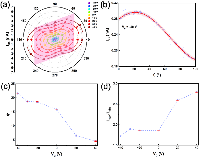
因此,研究人员提出了一种平衡的光电探测器结构,它不需要额外的工艺,只依赖于材料本身的各向异性,从而大大提高了偏振灵敏度。二元ReS2是一种低对称性过渡金属硫化物,具有直接带隙和较强的面内各向异性,在空气中也非常稳定。通过制备ReS2光电探测器,对其光学和电学特性分别进行研究。图1和图2表示测量的偏振拉曼峰强度和光电流响应极坐标图。可以看出ReS2具有很强的面内光学和电学各向异性。根据ReS2的各向异性拟合,该光电探测器在650 nm处的线性二向色性比为2.79。


图1.在平行和交叉偏振拉曼配置下测量ReS2 Ag-like模式的峰值强度与偏振角度的关系。
图2的结果还表明ReS2晶体b轴平行于最大光电流的方向。基于此研究人员提出了如图3所示的平衡光电探测系统。平衡光电探测系统由两个ReS2光电探测器组成,其中两个光电探测器ReS2的b轴相互垂直。由于材料b轴平行于最大光电流的方向,两个b轴相互垂直的光电探测器输出光电流曲线趋势相反,通过平衡探测技术可以得到零点。在零点处由于光电流趋向于零,因此理论上线偏振消光比趋于无穷大。该研究为进一步开发高性能二维材料偏振光电探测器提供了基础。

图2. (a) 在不同栅极电压下测量的光电流响应极坐标图。实线表示对实测数据的拟合结果。晶体轴b轴(红色菱形的一侧)平行于最大电流的方向。(b) 在−40 V栅极电压下,小偏振角步进测量光电流响应。(c),(d) 提取了不同栅极电压下的偏置角和二向色性比。

图3. (a)平衡偏振光电探测器原理图。(b)光电探测器的角度依赖光电流。(c)归一化电流差的角度依赖性。(d)暗态时光电探测器的噪声功率谱。(e)平衡差分模式下的噪声等效光偏振差。