In2Se3是近年来广受关注的一种层状硫属化合物,其结构单元由Se-In-Se-In-Se原子层构成,层间通过较弱的范德华力结合,易于剥离成二维薄层。In₂Se₃凭借其丰富的相结构、铁电性、可调带隙和优异的机械性能,在存储器、光电器件、柔性电子和能源催化等领域具有广阔的应用前景,是未来功能材料研究的重要方向之一。然而,In2Se3存在多种晶相,这些晶相在不同温度和环境条件下可发生相互转变,相稳定性问题严重影响其在实际应用中的可靠性。
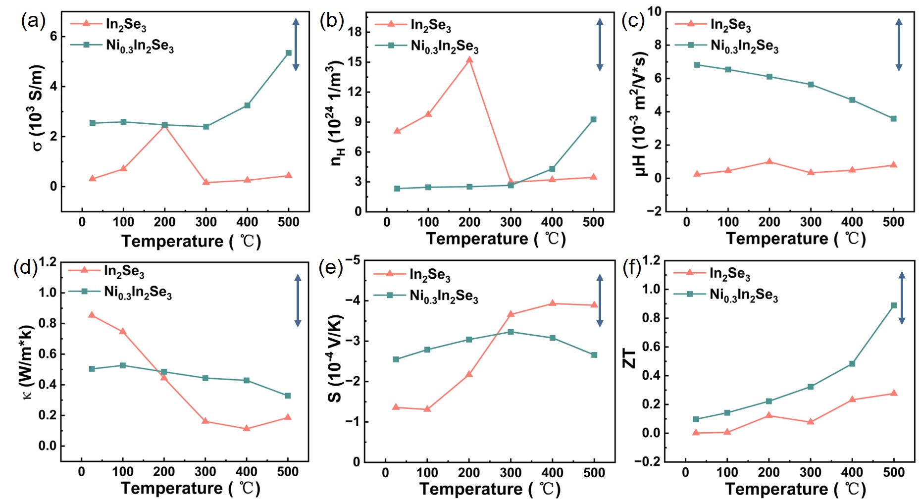
中国科学院宁波材料技术与工程研究所黄庆团队提出的“化学剪刀”层状材料结构编辑技术,不仅实现了MAX相和MXene等碳氮化物层状材料的创制(Science, 379,2023,1130-1135),也可用于前过渡族金属硫属化合物的结构调控(Small,2023,304281;Adv Funct. Mater.,2023,2313243)。本工作中,该团队通过金属型“化学剪刀”插层技术对In2Se3的相稳定性和物理性能进行了系统研究。研究发现该插层技术可合成出一类全新的化合物NixIn2Se3 (x=0~0.3),其中Ni原子随机占据In2Se3的范德华间隙原子位。插层的Ni原子作为“晶格钉扎点”固定了晶体结构,使得插层化合物在25~500℃的范围内保持单一相结构,有效地解决了In2Se3易相变的问题。Ni原子插层进一步有效调控了In2Se3的电学性质和热学性质:Ni作为电子给体显著提升了In2Se3材料的载流子浓度和电导率;与此同时,层间无序化Ni原子结构则增强了点缺陷密度和界面声子散射,从而降低了其热导率。由于In2Se3材料电导和热导分别受到以上不同物理机制的影响, Ni0.3In2Se3相对比原始的In2Se3的热电性质获得了显著提升,前者在500℃的热电ZT值提升了135%。
该成果以“Phase Stabilization of In2Se3 by Disordered Ni Intercalation and its Enhanced Thermoelectrical Performance”为题发表于国际学术期刊《先进材料》(Advanced Materials,2025,e07536,DOI: 10.1002/adma.202507536)。本研究得到了国家自然科学基金(52172254,U23A2093,12435017,12275336)、浙江省创新创业团队(2019R01003)、浙江省尖兵计划(2022C01236)、宁波市自然科学基金(2022J297)、宁波市青年科技创新领军人才项目(2024QL022)、中国科学院青年创新促进会(2022298)等项目的支持与资助。

图1 (a)Ni原子插层In2Se3过程示意图;(b)扫描电镜和能谱分析显示Ni插层In2Se3样品的形貌和元素分布;(c)高分辨球差电镜显示Ni0.3In2Se3的原子结构,其中Ni原子在In2Se3层间随机分布

图2 Ni插层对In2Se3相稳定性的影响:(a-b)原位XRD揭示In2Se3和Ni0.3In2Se3在50-500℃温度范围内的相结构变化;(c-d)In2Se3和Ni0.3In2Se3不同的相转变行为示意图

图3 In2Se3和Ni0.3In2Se3在室温至500℃温度范围内沿面外方向的物性对比:(a)电导率;(b)载流子浓度;(c)载流子迁移率;(d)热导率;(e)塞贝克系数;(f)热电ZT值