近期,中国科学院上海光学精密机械研究所先进激光与光电功能材料部激光晶体研究中心在硼硅共掺和硼钨共掺金刚石的制备与性能研究方面取得新进展,相关研究成果分别以“Unusual electrochemical properties of boron and silicon co-doped diamond electrodes”和“Impact of tungsten doping on the physicochemical properties of boron-doped diamond electrodes”为题发表于Surfaces and Interfaces。
掺硼金刚石电极具有优异的物理化学性能,已在多个领域实现广泛应用。硅、钨作为金刚石中常见的杂质元素,在某些金刚石的生长过程中会不可避免的被引入金刚石晶格中。因此,阐明这些杂质共掺的影响规律和作用机理对于提升掺硼金刚石电极性能具有重要意义。
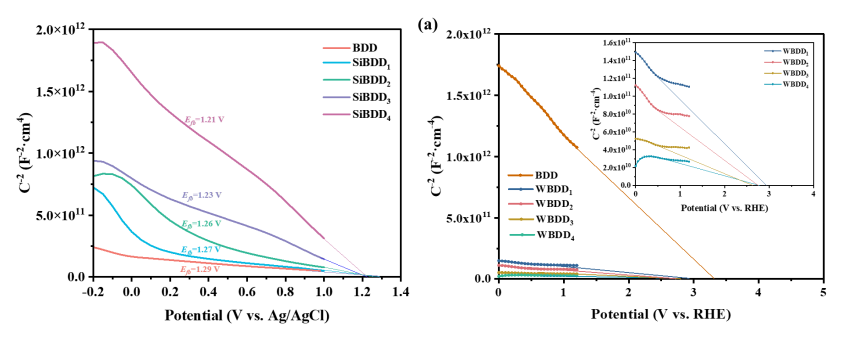
研究团队通过优化设计掺杂气路,实现了硼硅、硼钨共掺金刚石电极的可控制备,并研究了其对电极性能的影响规律。实验结果显示,硅共掺可以降低掺硼金刚石电极表面含氧官能团的含量,从而促进内球电子转移。另一方面,硅共掺也引入了额外的缺陷能级,降低了电极的载流子密度,导致外球电子转移速率的降低。此外,随着生长过程中硅浓度的提升,金刚石电极中出现碳化硅相,电极性能显著下降。而钨共掺对掺硼金刚石电极的内球电子转移产生了不利影响,同时也引入了显著的应力和额外的能级,使金刚石带隙变窄,促进了外球电子转移。该研究为新型金刚石电极的设计提供了参考。
相关工作得到国家自然科学基金的支持。


图1 不同样品的循环伏安曲线

图2 不同样品的Mott- Schottky曲线